
A
ll
and more about Sharp P
C-
1500 at http://www.PC-1500.info
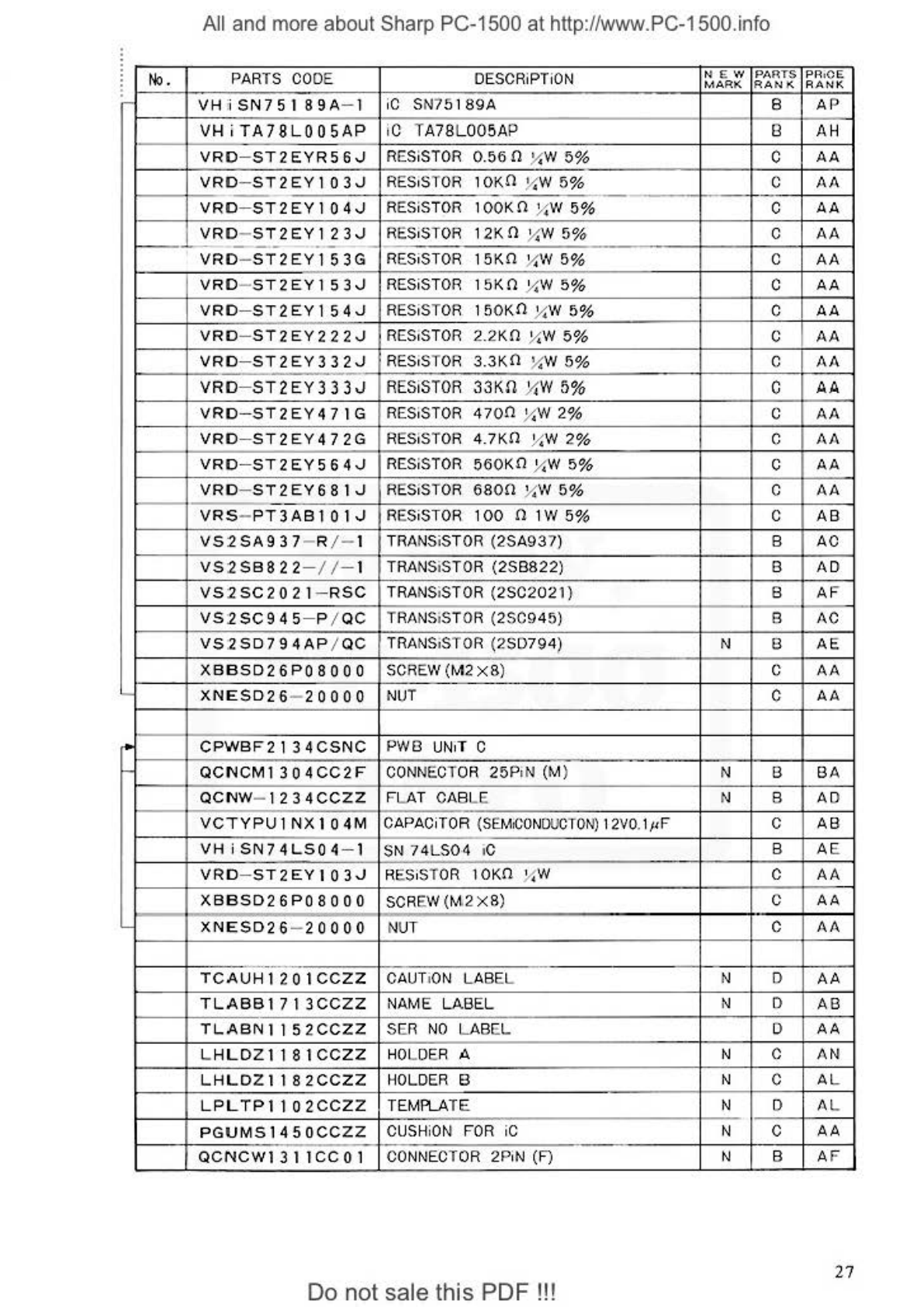
No.
PAR
TS
COOE
DESCRiPTi
ON
N E W
MARK
PA
RTS
R A
NI<.
PR
I
CE
RANK
r-
1
VH
r
iSN75189A
- I
iC
SN751
89A
8 A P
VHiTA78
LOOSAP
iC TA78L00 5AP
B A H
VRO
-
ST2EYR56.J
RE
SiSTOR
o.56
n y.w
5%
c
AA
VRD
-
ST2EYI03.J
RESiST
OR
lOKO
Y.
W 5% c
AA
-
VRD
-
ST2EYl04.J
RE
SiSTOR
lO
OKO y,w
5%
c
AA
VRO
-
ST2EYl23.J
RE
SiSTOR
12KO
Y,
W5%
c
AA
---
--·
VRO
-
ST2EY153G
RESiSTOR
15KO '/,
IV
5%
c
AA
VR0
-
ST2EY153,J
RESiST
OR
1
5Kn
y.w
5%
c
AA
VRO
-
ST2EYl54.J
RESiSTOR
150
K0
y.W
5%
c
AA
VRO
-
ST2EY222
.J
RE
SiS
TO
R
2.2
Kn
y.
w
5%
c
AA
VRO
-
ST2EY332.J
RE
SiST
OR
3.3K0
y.W
5%
c
AA
VRO
- S
T2EY333.J
RES
iS
TOR
33K
!l
Y,
W
5%
c
AA
VRO
-S
T2EY47
1G RESiS
TOR
47
00
y.
w
2%
c
AA
VRO
-
ST2EY472G
RES
i
STOR
4.7K!l
Y.W
2%
c
AA
VRO
-
ST2EY564
.J
RE
S
iSTOR
5GOKO
y.
w
!'>%
c
AA
VRO
-
ST2EY68
1.J
RESiSTO
R
Gaon
y.w
5%
c
AA
VRS
-
PT3A8101.J
RESiST
OR
10
0 0 l W 5%
c
AB
VS2SA937
- R / - 1 T
RANS
iST
OR
(2SA937
)
8
AC
VS
:2S
B822
-//-
1
TRANS
iSTOR
(2SB822
)
8
AD
VS
:2
SC2021
-
RSC
TRA
NS
iSTOR (2SC2021)
8
AF
VS
:2
SC945
- P / QC T
RANS
i
STOR
(2SC945) B AC
VS
:2S
D7
94AP
/ QC
TRANS
iST
OR
(
2$0
794
) N
B
AE
XBBSD26P08000
SCREW
(M2
XS
) c
AA
'-
XNESD26
-
20000
NUT
c
AA
r-
CPWBF2134CSNC
PWB
UN1T
C
t-
QCNCM1304CC2F
CO
NN
ECT
OR
25Pi N (M) N
B
BA
QCNW
- 1
234C
CZ Z F
LA
T CAB
LE
N
B
AO
VCTYPU1NX104M
CAPACiTOR
(
SEM
i
CO
N
DUCTON)
12
V0
.1
1<F
c
AB
VHiSN74LS04
- 1
SN
74LS04
iC B
AE
VRD -
ST2EYI03.J
RESiST
OR
1 O
KO
y.
w
c
AA
XBBSD26P08000
SCR
EW (tv\2
XS)
c
AA
'-
XNESD26
-
20000
NUT
c
AA
TC
AUH
1
201CCZZ
C
AUT
i
ON
LABEL N
D
AA
TLABB
1
713CCZZ
NAME LABEL N D
AB
TL
ABN
1 1
52CCZZ
SER
NO
LAB
EL 0
AA
L
HLDZ
1181CC
ZZ
HOL
DE
R A N
c
AN
LHLDZ118
2C
CZZ
HOLDER
B N
c
AL
L
PLTP1102CCZZ
TEMR...A
TE N D AL
PGUMS
14 5
OCCZZ
C
USH
iON
FOR
iC N
c
AA
QCNCW
I
31
J
CCO1
CONNEC
T
OR
2PiN
(F)
N
B
AF
27
Do
not sale this PDF!!!
Komentáře k této Příručce