
7
M
M
X
X
-
-
C
C
3
3
8
8
1
1
/
/
C
C
3
3
1
1
1
1
/
/
M
M
X
X
-
-
C
C
3
3
8
8
0
0
/
/
C
C
3
3
1
1
0
0
S
S
a
a
l
l
e
e
s
s
G
G
u
u
i
i
d
d
e
e
1-20ppm A4 MF P by
Brand (2008 H1)
0%
10%
20%
30%
40%
50%
60%
70%
80%
90%
100%
1-20ppm
Others
DELL
XEROX
LEXMARK
OKI
BROTHER
SAMSUNG
HP
21+ppm A4 MF P by
Brand (2008 H1)
0%
20%
40%
60%
80%
100%
21+ppm
Others
LEXMARK
XEROX
RICOH
HP
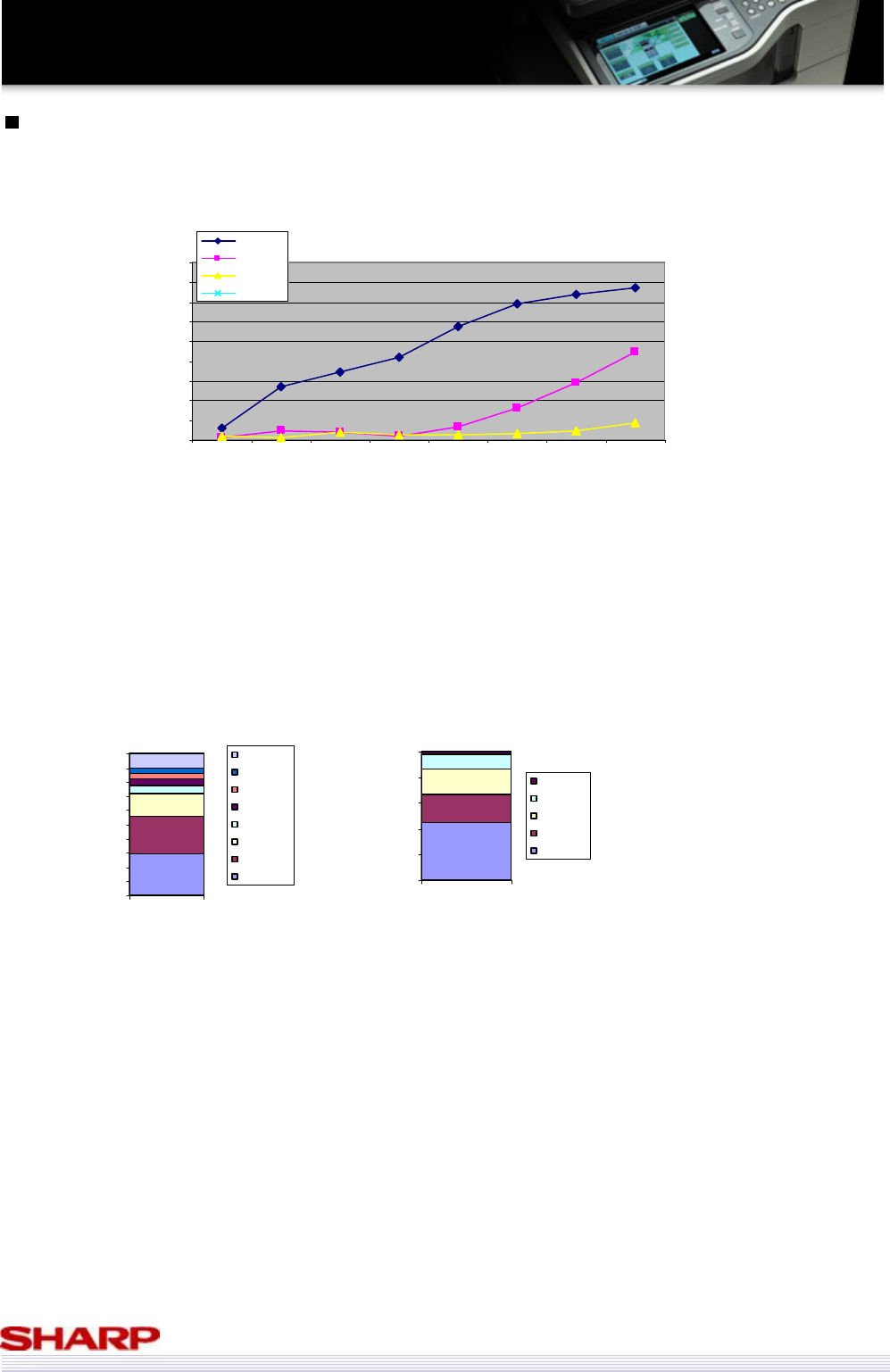
Colour A4 Market – Speed breakdown
As soon as you look at the figures for the colour A4 MFP market, it becomes clear that the lower-end devices
dominate.
Clearly, the 1-10ppm segment is dominant, with an estimated 60% of the market projected for 2008 H2. However,
this segment is easily the most mature, it is dominated by traditional printer vendors whose route to market is via
retailers and distributors, and the machines are usually 4-pass. In short, these are SOHO models, and as such really
aren’t competitors for the MX-C381/C311 & MX-C380/C310. This becomes obvious when you look at the
breakdown of manufacturers in the 1-20ppm and 21+ppm segments.
The 21+ppm A4 MFP market is clearly in its infancy, and is projected to account for only 6.5% of the overall market
for A4 MFPs (2008 H2, Infosource). However, the price difference compared to A3 machines, coupled with the fact
that the vast majority of output is on A4 paper means that the future of this segment is bright, since it offers
compelling business reasons for deploying the smaller cheaper machine, often in tandem with larger A3 machines.
The upturn in sales of 21+ppm machines suggests that the market for faster A4 MFPs is set to grow rapidly, despite
its small current market size. There is clearly a market for faster machines than the 1-10ppm segment offers, with
the 11-20ppm segment enjoying rapid growth in recent months, and the 21+ppm segment also growing.
The relative lack of competitors in the 21+ ppm segment combined with the low (but growing) sales numbers shows
this is a market in its infancy. It is impossible to know exactly how long it will be until this market starts growing,
but with expectations of more manufacturers releasing their own machines in the coming months, it does look like it
will be a high growth area soon.
A4 MFP Market (Unit Sales)
-
20,000
40,000
60,000
80,000
100,000
120,000
140,000
160,000
180,000
2005 1H 2005 2H 2006 1H 2006 2H 2007 1H 2007 2H 2008 1H 2008 2H
(Est)
1-10ppm
11-20ppm
21+ppm
Komentáře k této Příručce